Appearance
数学公式快捷编辑
Liii STEM 设置了独立的数学模式,支持数学公式编辑、编号和引用的,还集成乐高符号、Tab 循环和魔法粘贴等快捷方式,帮助您高效完成公式撰写。
1. 什么是数学模式
Liii STEM 中的“数学模式”为您提供了十分齐全的数学环境,任何和数学相关的内容都应当在数学模式下输入
在文本模式下,模式工具栏中的按键多与插入各类文本环境有关,例如插入“节”;而在数学模式下,我们在模式工具栏中设置了更多的数学符号。
下图展示了不同模式下模式工具栏的具体式样(默认主题)。

2. 进入数学模式
方法一:模式工具栏按键
在文本模式下,点击模式工具栏上的 π 按钮,可以选择插入行内公式、单行公式或多行公式。

方法二:快捷键
行内公式:$
单行公式:Alt+$
\eqnarray 格式的多行公式:Alt+&
\align 格式的多行公式: Ctrl+$
快捷键只在英文输入法下生效
3. 最终效果呈现
- 行内公式:
$

- 单行公式:
Alt+$

- 多行公式:
eqnarray 格式的多行公式 Alt+&

align 格式的多行公式Ctrl+$

两者采用不同的对齐方式,可通过文本模式工具栏 →
π→多行公式(eqnarray)/多行公式(align)插入
4. 对公式编号与引用的方法
4.1. 数学公式标号
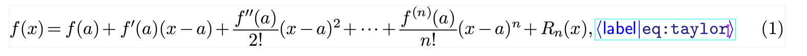
在数学模式下,点击焦点工具栏的 123 按钮,或者使用命令\eq-number可以对公式进行编号。

其中,
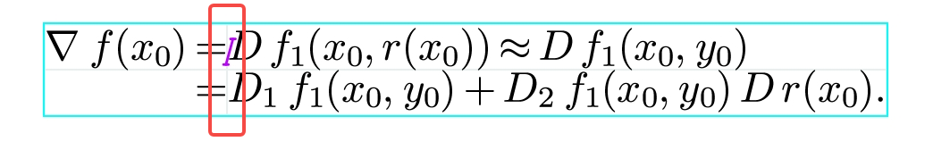
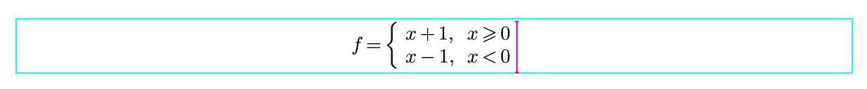
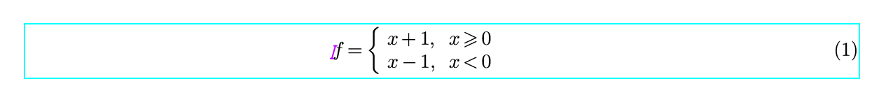
- 分段函数既可以进行整个公式的编号,也可以进行分行编号。 如果直接选中公式点击焦点工具栏
123按钮,将会为整个多行公式编号。

eqnarray格式及align格式只能进行分行的编号。
效果如图:
eqnarray 格式



align 格式

4.2. 公式的标注和引用
您可以在 Liii STEM 中对已经完成编号的公式进行标注,以便后续文章中加以引用。为满足这一需求,您可以参考这篇详细的教程